Cargando
Niveles de Energía
Exposición para física moderna para ingeniería
arrow_back
Presentación
Compañeros
Libros
Física Moderna para Ingeniería
Ing. Fernando Bu
Niveles de Energía
20/03/2025
Ing. Alvaro Morales
3170456
Niveles de Energía
Fórmulas Esenciales
1
Fórmula Original de Bohr
2
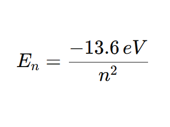
Fórmula Simplificada
3
Relación entre ambas
La primera fórmula es la derivación completa con todas las constantes físicas (masa y carga del electrón, constante de Planck, etc.).
Al simplificarla y expresar la energía en electronvoltios, llegamos a la conocida cifra de −13.6 𝑒𝑉 para el nivel base del átomo de hidrógeno.
1. Fórmula Original de Bohr
2. Fórmula Simplificada
3. Relación entre ambas
Explicaciones Fundamentales
keyboard_arrow_left
Ejemplo Numérico Explicado Paso a Paso
keyboard_arrow_right